電力儀表在本文結合依據國家標準、結合示例分享含移相因素和畸變因素的綜合功率因數的計算方法,并對提高綜合功率因素的措施做簡單介紹,是電工深入了解功率因素的干貨技術文章。
功率因數的組成
廣義地說,功率因數應包括以下兩個因素:
①移相因素(displacement):由于感應電動機、變壓器、電感鎮流器等需要一定量的無功功率(電感性)而導致的移相角(φ),形成cosφ,導致功率因數降低。
②畸變因素(distortion):由于電子器件、整流器等導致交流正弦波的波形畸變,也將導致功率因數的降低。
功率因數的計算
過去只考慮無功功率導致的功率因數cosφ是不全面的,在電子器件被廣泛應用的今天,必須計入波形畸變的影響,綜合功率因數應按下式計算
............ 公式1
............ 公式2
以上兩個公式中:λ為含移相因素和畸變因素的綜合功率因數;THD1為電流總諧波畸變率,%;HRIh為第h次諧波電流含有率,%。
功率因數計算示例
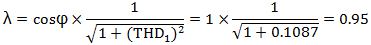
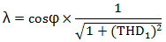
例1:某籠型電動機,cosφ為0.88,電流總諧波畸變率為15%,求λ值。
解:按公式1

可見其諧波電流畸變率較小,對含移相因素和畸變因素的綜合功率因數影響極小。
例2:某照明配電回路,所接光源全部為T8型36W熒光燈、配電子鎮流器,其cosφ=1,高次諧波電流符合GB17625.1-2012的規定,求λ值。
解:按GB17625.1-2012之C類(照明設備)P>25W的各次諧波含有率限值,代入公式2

再代入公式1得

由于對25W以上的照明燈的高次諧波電流限值較嚴,使λ值很理想。
例3:某照明配電回路,所接光源均為25W及以下的LED燈和熒光燈,其cosφ=1,高次諧波電流符合GB17625.1-2012的規定,求λ值。
解:按GB17625.1-2012之C類(照明設備)P≤25W的諧波含有率限值,代入公式
,由于該標準只規定了3次和5次諧波電流限值,對其他次諧波電流限值未作規定,從了解到的測試參數估算,求得λ值約為0.5-0.6。由此可見,對25W及以下照明燈諧波電流限值過寬的又一不良后果是λ值過低。
提高綜合功率因數的措施
1、電動機的負荷率不宜太低,通常應達到0.85-0.90,避免“大馬拉小車”的情況。
2、負荷變化很大的機械設施(如未設高位水箱的高層建筑加壓水泵)的傳動電動機,宜采用多臺或變頻調速電動機。
3、配電線路宜采用多芯電纜、導線穿管和封閉式母線槽,使各相導體及N導體、PE導體在同一電纜或套管內,以降低電抗值。
4、按實際需要,在設備端或配電裝置處裝設無功補償設備。
5、降低高次諧波含量,力求選擇低諧波設備和照明產品。
在實際應用中,功率因素測量會使用功率因素表,無功補償設備會用到無功功率自動補償控制器,大家可到“電力儀表”欄目了解這些產品。
新書推薦
《低壓配電設計解析》由九旬電氣專家任元會編著,筆者將自己幾十年在講授低壓配電設計中,針對全國各設計院、電氣工程師提出的問題進行的研究、分析和總結的研究成果呈現給年輕電氣設計師,希望能夠為提高我國建筑電氣設計水平作最后的一點貢獻!
