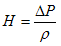
根據流體靜力學原理,由被測對象液柱的靜壓力,就可判斷液位的高低。而靜壓力可用差壓變送器把它檢測出來。液位與差壓有如下關系:
式中H為液位高度;△P為差壓;ρ為液體密度。當液體密度恒定時,測出差壓就可知道液位高度,而與液體容積無關,即知道了液體高度,也就知道了差壓,即立△P=H×ρ。以上都是針對△P為水柱而言的。差壓變送器模擬校驗就是基于上述原理進行的。差壓變送器模擬校驗校驗裝置及接線見圖所示。
將被校差壓變送器及讀數標尺(可用鋼直尺或U形壓力計標尺)垂直固定好,準備兩個手動氣體分析儀用的水準瓶,用橡膠管分別接到差壓變送器的三閥組閥門接頭上,為使讀數方便和準確,可自制一活動支架來放置水準瓶。將三閥組的三只閥門全打開,旋松差壓變送器上端的排氣螺釘,從任一個水準瓶內灌水;待水從排氣螺釘內溢出;排完氣泡后,旋緊排氣螺釘。并使兩水準瓶的水面保持半瓶左右,將兩水準瓶置于同高度(通常定為標尺的“0”刻度),使兩瓶的水面平衡。送電預熱后,檢査差壓變送器的零位,不符時可調變送器的調零電位器,使之輸出為4mA,調好零位后,關閉平衡閥門。此時抬高與變送器H端相連的水準瓶,以改變兩個水準瓶的水面垂直距離,并使其為最大測量量程,看差壓變送器的輸出是否為20mA,否則調差壓量程使輸出為20mA.零位和滿量程合乎要求,再改變水準瓶的水面垂直距離,看中間各量程是否超差。正常后再進行遷移調整工作。正、負遷移的調整視差壓變送器的用途而定,通常情況下:測開口容器的液位用正遷移,測封閉容器的液位用負遷移。只是涉及抬高哪只水準瓶的問題。在遷移時應該哪個水準瓶升降?應根據正、負遷移情況來定。但都是以一個水準瓶的水面作為基準點,將另一個水準瓶沿標尺上下移動,兩個水準瓶的水面距離(可從標尺上讀數),即為液位H值,也即差壓△P值。根據差壓變送器量程把移動的那個水準瓶移到液位最高點(或最低點),然后調整遷移使之合乎要求。
對測量其他液體及工況下的水位時,差壓變送器應該按其實際密度來計算量程后模擬校驗。
