控制回路PID參數整定方法非常多,最有名的是JG Ziegler和NB Nichols在1942年發布的整定方法。Ziegler-Nichols整定方法是規范化PID參數整定的鼻祖,開啟了PID參數整定的科學化歷程。很多大學課程中也主要介紹了該整定方法,但是實際中該整定方法存在很多問題,所以不推薦在實際工作中使用Ziegler-Nichols整定方法。
Ziegler-Nichols整定方法存在如下問題:
1、Ziegler-Nichols整定方法是為具有交互式控制器算法的控制器設計的。如果未使用微分(P或PI控制),則這些規則也適用于非交互式算法。但是,如果使用微分(PID控制)并具有非交互式控制器或者控制器具有并行算法,則應轉換計算出PID參數以使其適用于控制器。
2、整定方法以4∶1衰減振蕩作為最佳控制回路性能,該方法會導致測量值超過其設定值并在其附近振蕩幾次,很多過程不允許超調,因此Ziegler-Nichols整定方法不適用這類對象。
3、Ziegler-Nichols整定方法得到的PID控制器魯棒性不足,當工況變化后控制回路很容易振蕩。
4、對于大純滯后被控對象,控制回路由于積分作用太弱,控制回路的響應速度和抑制干擾能力都不理想。
傳統整定方法關注克服不可測階躍擾動時的峰值和累積偏差,這種積極但魯棒性不足的整定方法不適合處理實際問題或實現其他控制目標。整定結果存在增益大、積分時間短的問題,不可避免地在系統中引起振蕩,難以使系統達到整體性能最佳的控制目標,不適合大多數化工過程。新的整定方法關注增加魯棒性、最小化非線性、耦合和振蕩影響并滿足其他過程目標,如:最大化吸收干擾的緩沖罐液位控制、比值控制的回路協調和串級控制中底層回路的設定值響應等。
本文研究了基于Lambda方法的PID整定方法,并針對過阻尼和欠阻尼自衡對象給出了參數設置的方法,最后使用該方法對大純滯后欠阻尼對象進行了仿真驗證。
1、Lambda整定方法
20世紀80年代之前的大多數參數整定方法都關注克服不可測階躍擾動時的峰值和累積偏差,這種積極行為對防止激活減災系統或觸發停車條件非常重要,但是由于魯棒性不足不適合處理實際問題或實現其他控制目標。
Lambda整定方法是用于減少過程波動的成功方法。從最簡單的意義上講,Lambda整定以所需的期望閉環響應速度實現控制回路的非振蕩響應,通過選擇一個期望閉環時間常數(通常稱為λ)來設置響應速度。通過選擇期望閉環時間常數,可以在一個單元過程中協調一組控制回路的PID整定,從而通過它們的共同作用建立整個過程的理想動態。
Lambda整定概念的基礎可以追溯到1957年Newton,Gould和Kaiser的分析設計方法。簡而言之,一旦知道了過程模型并且選擇了期望閉環特性,該方法就可以直接合成所需的控制器。1968年,EB Dahlin在數字控制器上的工作為Lambda整定提供了主要推動。Dahlin將所需的閉環響應速度描述為“Lambda”。Dahlin只關心一階純滯后對象,而Morari和Chien等人將該技術推廣到一般的傳遞函數。該設計方法的基礎是零極點配置,其中控制器零點用于抵消過程極點。
Lambda整定方法是針對速度的整定方法(例如Ziegler-Nichols法、Cohen-Coon法等)的強大替代方法。Ziegler-Nichols法、Cohen-Coon法的目標是4∶1衰減振蕩,而Lambda整定方法的目標是一階純滯后對設定值的響應。
Lambda整定方法具有以下優點:
①過程變量在發生干擾或設定值變化后不會超調。
②Lambda整定方法對通過階躍測試確定過程純滯后時間時所犯的任何錯誤的魯棒性比較高。該類問題在時間常數為主的過程中很常見,因為很容易低估或高估了過程純滯后時間。當純滯后時間不正確時,Ziegler-Nichols和Cohen-Coon整定方法可能會給出非常糟糕的結果。
③整定魯棒性好,意味著即使過程特性與用于整定的過程相比發生了較大變化,控制回路也能保持穩定。
④Lambda整定的控制回路可以更好地吸收干擾,并將更少的干擾傳遞給下游過程。對于高度耦合過程,這是一個非常有吸引力的特性。造紙機上的控制回路通常使用該整定方法進行整定,以防止整個機器由于過程相互耦合和反饋控制而發生振蕩。
⑤用戶可以為控制回路指定所需的響應時間(實際上是閉環時間常數),這提供了一個期望閉環響應時間常數λ作為整定因子,可用于加快或減慢回路響應。
Lambda整定期望的第一步是計算λ。λ描述控制器響應設定值階躍變化時的速度。因此,一個較小的λ(即短響應時間)意味著一個積極的控制器或一個以快速響應為特征的控制器。
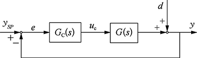
Lambda整定方法簡化過程如圖1所示。

圖1 Lambda整定方法簡化過程示意
主通道閉環傳遞函數為

控制器傳遞函數為


被控對象為一階純滯后模型,其傳遞函數為

期望的閉環傳遞函數為

閉環控制不能消除純滯后時間,所以設閉環傳遞函數仍有固定純滯后。
將式(5)代入式(3)得:

將式(4)代入式(6)得:

對式(7)中的純滯后使用一階Taylor展開近似:e-τs?1-τs
將式(8)代入式(7)得:

故:
當λ=0.6τ,閉環的設定值會和Ziegler-Nichols整定方法類似得到4∶1衰減振蕩的響應。當λ=τ,閉環的設定值跟蹤會超調但不振蕩,這也是Lambda整定方法推薦的最強控制作用。當λ=2τ時,閉環設定值跟蹤不超調。Lambda整定方法推薦的魯棒參數為λ=3τ。λ的選擇和開環對象的純滯后直接相關。
2、基于實際對象的Lambda參數整定方法
在實際自衡對象中,大部分都不是標準的一階純滯后對象,而是如圖2所示的過阻尼多容對象開環響應或者如圖3所示的欠阻尼對象開環響應。針對該類對象可以使用分析設計方法,基于內模控制理論得到PID參數,但是往往由于被控對象的模型過于復雜,很難得到合適的參數。本文提出一種方法:由于獲得模型是為了進行PID參數整定,所以可以根據階躍響應曲線使用近似的方法獲得Lambda整定需要模型的增益K,時間常數T和純滯后時間,然后再給出一個滿足條件的λ,使用這4個參數就能根據式(10)得到PID參數。
對于自衡對象而言,模型增益無論使用開環還是閉環測試,計算公式均為K=ΔPV/ΔOP。
從開環響應的63.2%ΔPV,沿響應曲線向前做響應曲線的切線,切線與時間坐標軸相交。輸出變化到交點為純滯后時間,交點到63.2%ΔPV的時間為T。過阻尼多容對象的開環階躍響應如圖2所示,欠阻尼對象的開環階躍響應如圖3所示。

圖2 過阻尼多容對象開環階躍響應示意

圖3 欠阻尼對象開環階躍響應示意
考慮被控對象的復雜性,推薦λ:
式中: Tss為穩定時間,即階躍開始時到PV穩定時的時間。
3、仿真試驗
被控對象傳遞函數:

被控對象的開環階躍響應曲線如圖4所示。該被控對象為大純滯后欠阻尼自衡對象,針對這種對象一般使用常規的方法很難得到合適的PID參數。

圖4 被控對象的開環階躍響應曲線示意
使用類似圖3的方法可以得到對應的一階純滯后被控對象模型:


根據Lambda整定方法,可得到如下的控制器參數:

使用Lambda整定方法得到的PID控制器參數進行設定值階躍變化仿真,被控對象的閉環階躍響應如圖5所示。

圖5 被控對象的閉環階躍響應曲線示意
由圖5可知,在被控對象極其復雜的情況下,使用本文給出的Lambda整定方法仍可以一次得到適用的PID初始參數。
4、結束語
Lambda整定方法具有適用的被控對象特性廣、控制器設定值跟蹤無振蕩的良好特性,是一種值得推廣的PID參數整定方法。該方法針對過阻尼的多容自衡對象同樣有效,在該整定方法中不涉及微分,在多容特征明顯時適當的加入微分也是一個選項,但是微分時間不宜設置的太大。
作者:馮少輝,袁海雷
