
滲透法制備標準氣體
滲透法適用于制備痕量活潑性氣體(如SO2、NO2、NH3、H2S、CL2、HF等)或含微量水分的標準氣,用該法制備的標準氣體的不確定度為2%。滲透法配氣的國家標準是GB/T5275.10-2009《氣體分析動態體積法制備校準用混合氣體第10部分:滲透法》(等同采用ISO6145-10:2002)。
①配氣原理
滲透管內裝有純凈的組分物質,管內的組分氣體通過滲透膜擴散到載氣流中。經過控制為已知流量的載氣,部分或全部地流過滲透管,它起著載帶滲出的組分氣體分子作用,同時也是構成混合氣體的背景氣。載氣一般采用99.999%的高純氮氣,且不允許含有痕量的組分氣體。通過滲透膜的滲透速率取決于組分物質本身的性質、滲透膜的結構和面積、溫度以及管內外氣體的分壓差,只要對滲透管進行正確操作,這些因素能保持恒定。
如果滲透速率保持恒定,則可在適當的時間間隔內,用稱量的方法來測定滲透管的滲透率,其計算式如下:

除稱量法以外,其他測定滲透率的方法還有體積置換法和分壓測定法。
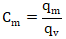
所制備的校準用混合氣體的濃度是滲透管的滲透率和背景氣體流量的函數。以制備SO2校準氣為例,其濃度由下式給出:

式中Cm為SO2的質量濃度,μg/m3;qm為SO2滲透管的滲透率,μg/min;qv為背景氣體(載氣的流量),m3/min。
若用體積分數來表示濃度,則必須考慮SO2的摩爾體積,從而得到以下關系式:

式中Cv為SO2的體積分數;K為常數,數值為0.38×10-9,單位為m3/μg。
例如通入分析儀器的流量qv為18L/h,SO2滲透管的滲透率qm為1μg/min,則SO2的體積分數Cv約為1ppm。
②配氣裝置
對配氣裝置所用的材料和管路元件的性能有如下要求:
◆配氣裝置材料選擇。為了避免由于吸附作用(化學的或物理的)而使校準用的混合氣體中的組分濃度發生任何變化,應對滲透配氣裝置所用的材料進行選擇。所需的組分濃度越低,這種吸附現象的影響就越大,濃度達到穩定值就越困難。如可能,應選用玻璃材料。與校準相關的組成部分,特別是滲透配氣裝置與分析儀器之間的氣體輸送管路,如果用易彎曲的管材或金屬管時,應選用對組分氣體沒有任何吸附的材料。
◆管路元件的性能要求。各管路、閥門(包括氣瓶閥)的接頭應確保氣密性和潔凈。如果氣密性不好,則進入到樣品氣體或校準氣體中的污染空氣的體積濃度與該系統的泄漏率成正比,與樣品氣體或校準氣體的體積流速成反比。要選用死空間體積小的閥門和連接件,特別要考慮到死空間體積所存的濕氣和空氣,它很難抽除或吹出。管路應盡可能短,而且應盡可能干燥。
減壓閥應確保氣密性良好,如果可能的話,將其干燥,以除去所吸附的氣體,考慮到濕度,如果管路部件(調節閥、材料性質等)允許的話,建議干燥溫度選用100℃。為確保安全,建議在減壓器出口處安裝節流閥和截止閥,以防止反擴散。
③配氣操作注意事項
◆為了降低滲透速率,使組分物質的損失減為最小,以及避免有任何物質在管上凝結,建議將滲透管在使用前存放在干燥的密閉容器中,并置于溫度較低的地方(約5℃,如放在冰箱底部)。
◆使用時把滲透管放在氣流系統中,用高純和干燥的載氣吹洗滲透膜的外表,而放有滲透管的氣體發生瓶應置于一個液體恒溫浴中。因為溫度對滲透率有很大影響,例如當溫度增加7℃左右,滲透率可增加一倍,所以恒溫浴的溫度應控制在0.1℃以內。
◆通過一個控制系統使載氣流量穩定不變,并用流量計來監測。吹洗用的載氣在到達滲透管之前必須在恒溫浴中事先預熱到滲透管所定的溫度值。
◆配氣系統可以是一級或二級稀釋。當需要改變校準用混合氣體的濃度時,可以通過調節稀釋氣體的流量來實現,而避免采用改變溫度的辦法來改變滲透率。
◆在特殊需要時,可把幾種不同組分物質的滲透管放在恒溫浴的同一氣體發生瓶中,條件是要避免發生任何相互作用。
④滲透率測定注意事項
◆當滲透管進行首次稱量之前,必須在恒溫系統中平衡48h以上,以確保滲透率達到穩定。
◆在兩次稱量之間,滲透管的溫度應保持恒定,滲透管內部氣體的壓力也應保持恒定,也就是說,滲透管內必須存在液相組分物質,或者是滲透管內組分物質的量遠遠大于因滲透所損失的量。
◆稱量時的環境條件最好與使用時相同,在稱量過程中,要避免水的吸附和溫度急驟變化引起的熱沖擊。
◆每兩次稱量的時間間隔(約數日)取決于所要求的準確度,建議對滲透管進行定期稱量(特別是滲透管趨于耗盡階段時), 以保證滲透率是恒定不變的。稱量時間間隔通常是以稱量的損失至少有10mg為準。
◆擴散法與滲透法十分相似,不同之處僅在用擴散管取代了滲透管,其配氣操作和擴散率的測定與滲透法基本相同。
相關閱讀
◆標準氣體制備方法之稱量法
◆標準氣體制備方法之壓力法
