Kv的定義
用5-40℃的水,保持在閥門兩端壓差為100kPa(1bar),閥門全開狀態下每分鐘流通水的體積,該體積用“立方米”單位;
Kv值的計算公式如下(來源《調節閥使用與維修-楊源泉》):
當Q=1m3/h,△P=1bar,ρ=1g/cm3時,?計算得Kv=1。
Cv的定義
用40-100℉的水,保持在閥門兩端壓差為1psi,閥門全開狀態下每分鐘流通水的體積,該體積用“美國加侖”單位;
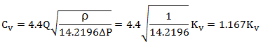
1m3/h=4.4gal/min
1bar≈1kgf/cm2=14.2196psi

為了方便理解,上述公式做了部分簡化
當Q=4.4gal/min,△P=14,216psi,ρ=1g/cm3時,計算得Cv=1.167。流通能力是不變的,如果用Kv衡量這個閥門的流通能力為1,則用Cv值衡量這個控制閥的流通能力為1.167。
就如同測量一輛車的平均車速,英制國家通常用“英里/小時”表示,俗稱為“邁”,單位為“mph”,而我國用“公里/小時”表示,單位為“km/h”,當平均車速用“英里/小時”表示100mph時,用“公里/小時”表示則為160.9km/h。
