外貼式式超聲波液位計是一種新穎的液位測量裝置,主要用于測量密封液態氣體容器內液位高度。它測量時安置在罐體側壁上與被測液體不接觸,可以測量有毒、有害、腐蝕性的介質液位,不需在罐體和管線上鉆孔,不受罐內高壓的影響,即使對有泡沫介質的液位也可以測量。但如何校準外貼式超聲波液位計也成為一個需要解決的問題。
超聲波液位計工作原理
超聲波液位汁是液位計的重要類型,常見的超聲波液位計安裝于容器上部或底部,探頭向被測液體發射一束超聲波脈沖。聲波被液體表面反射,部分反射回波由探頭接收并轉換為電信號。從超聲波發射到被重新被接收,其時間與探頭至被測液面的距離成正比,根據已知的聲速便可以計算出液面位置。外貼式超聲波液位計則不然,它的工作原理是基于超聲波脈沖對液體有和無狀態下的不同反應,也就是根據超聲波脈沖反射回波信號的大小不同判定液面位置。如果容器內壁是液體,那么部分聲能將被吸收,少量被反射回來。如果內壁是氣體,反射回波將大得多。
所以按照JJG971-2002液位計檢定規程,常見超聲波液位計校準是通過液位計水箱檢定裝置或模擬液位的方法來實現,外貼式超聲波液位計則無法按此校準,主要是改變液位對于外貼式超聲波液位計是沒有意義的,因為外貼式超聲波液位計實際上測量的不是液位,而是壁面內側液體的有無,通過不斷的判定來尋找液面。
外貼式超聲波液位計校準方法
我們的外貼式超聲波液位計校準方法主要是立足于模擬實際工作狀況,即以充有一定液體的圓桶配以鋼直尺確定液位進行校準。外貼式超聲波液位計校準裝置原理簡單,制作的難點在于圓筒壁厚、直徑和材質的確定。
超聲波在不同介質界面的反射、透射,主要決定于兩種介質的聲阻抗。聲阻抗Zi=ρv1,其中ρ為密度,v1為各自的聲速。當超聲波垂直于界面入射時,聲強反射系數R和聲強入射系數T與聲阻有函數關系如下式:

其中Zsol為固體聲阻抗,Zliq為液體聲阻抗。
可見適當的液體和桶材質的選擇,以獲得大的反射信號變化是外貼式超聲波液位計校準有效實施的重要環節。液體介質我們選用最常見的水為原料,水的聲阻抗 1.48×106Pa.s/m。存儲液態氣體的罐體,常見材質主要是鐵、鋼、銅和鋁。常溫下,鐵的阻抗為45.0×106Pa.s/m,鋼的阻抗為46.5×105Pa .s/m,銅的阻抗為41.8×106Pa.s/m,鋁的阻抗為16.9×106Pa.s/m,代入式

可見鋁得到更大的回波信號差,更能理想的校準結果。
對于桶壁厚和直徑,我們查閱了GB11640-2111《鋁合金無縫氣瓶》,GB5099-1994《鋼質無縫氣瓶》 和GB5842-2006《液化石油氣鋼瓶》。發現對于實際氣瓶產品,壁厚、筒的直徑應滿足一定的關系,不同材質和用途有不同。但一定的最小厚度是有要求的。另外超聲波探頭在工作中都是有一定盲區的,在盲區內是探頭是無法分辨出回波信號的。桶壁過薄有可能會產生這種狀況,從而令儀器產生誤讀。同時桶的直徑也應考慮便于探頭的耦合固定
綜上,我們選取了3.0mm壁厚,筒外直徑300mm,深1000mm的鋁桶作為容器。外貼式超聲波液位計校準時,將圓桶放置于水平面上,在圓桶中裝入水,用鋼直尺(精度等級1級)確定液面高度,將外貼式超聲波液位計探頭貼在外壁尋找界面位置,記錄高度;重復3次。改變位置4次,高度分別為200mm、400mm、600mm、800mm,以檢研對不同液位的檢測能力。如圖2所示:

圖1 外貼式超聲波液位計校準示意圖
測量結果分析
以英國某品牌外貼式超聲波液位計為例進行分析。

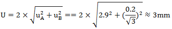
上表是外貼式超聲波液位計在不同液位下的10次測試結果,取表中標準差的最大值作為A類標準不確定度分量uA。對于B類不確定度,因為外貼式超聲波液位計的顯示不是相應的液位值,所以只考慮鋼直尺測量誤差uB。鋼直尺精度等級1級,示值誤差小于等于±0.2mm,按均勻分布估計測量誤差。各不確定度分量獨立無關,取包含因子k=2,則測量結果的擴展不確定度為

可見我們裝置的測試結果對于外貼式超聲波液位計校準是滿足需要的。
通過分析和比較,我們得到了簡易有效的外貼式超聲波液位計校準裝置。我們最后還應注意要這種外貼式超聲波液位計是不存累計誤差的,外貼式超聲波液位計校準中改變液位測量,只能增加穩定性,而不能說明更多性能。
作者:安兆亮 上海計量測試研究院
相關閱讀
超聲波液位計維修實例
外貼高頻超聲波液位開關在?;穬抟何豢刂频膽?/span>
