安裝在工藝管道上供溫度檢測用的溫度計套管,在工藝流體的作用下會產生振動,當振動頻率接近套管的固有頻率時,則可能發生共振,導致流體作用在套管上的應力超過溫度計套管的承受極限而使之折斷,產生泄漏,并使插在溫度計套管內的溫度檢測元件損壞,影響溫度測量,甚至發生事故。以往,國內石油化工項目的處理量和工藝偏于保守,工藝介質流速偏低,溫度計套管發生折斷的現象較少。近年來,隨著生產規模的擴大,處理量增加,工藝介質流速普遍提高,工藝過程經過局部改造后,甚至會超過原有設計負荷,溫度計套管折斷的現象逐漸增多,國內同行也開始關注此類問題。昌暉儀表網有文章對溫度計套管共振的產生和怎樣避免共振都有論述。但在工程應用中還是缺乏具體的設計方法和工程標準。昌暉儀表依據ASME PTC 19.3 TW-2016提出關于溫度計套管在工程應用中的設計方法,以保證溫度計套管能夠耐受靜態和動態壓力,不受機械損傷,使溫度計取得精確、穩定的測量值。
1、溫度計套管設計原理
溫度計套管從投入使用到整個設計生命周期結束,需要經歷開、停工和正常生產過程,甚至要經歷異常工況過程。理想的設計是使溫度計套管在預期的開、停工和正常生產過程中,經受住流體的沖擊,取得滿意的溫度測量值,并且對異常工況有充分估計,提出溫度計套管的極限使用條件。為了實現這個目的,在溫度計套管的設計過程中,需要根據工藝條件,確定合適的外形和制造材料,盡量使安裝后的溫度計套管具有足夠高的固有頻率,保證溫度計套管遠離共振區域,同時,限定振動幅度形成在一個安全值,使溫度計套管所承受的最大穩態應力和動態應力在安全限度內,建立相應的極限限制:
①振動頻率極限評估
安裝就位后的溫度計套管固有頻率應足夠高,以使共振不至被流體刺激所激發。
②靜態應力限制評估
溫度計套管所承受的最大穩態應力不應超過von Mises等效應力準則確定的極限值。
③動態應力極限評估
溫度計套管所承受的最大動態應力不應超過允許疲勞應力極限。
④流體靜力學壓力極限評估
溫度計套管所承受的外部壓力不應超過桿體、端頭和法蘭的壓力等級。
一個固定形狀和材質溫度計套管,插入工藝管道后,流體沖擊引起振動的頻率、溫度計套管固有頻率和所能承受的應力極限是一定的。如果能夠通過上述評估條件,溫度計套管即可經受預期的工況條件,在設計預期的生命周期內安全使用。如果不能通過評估條件,則需調整溫度計套管形狀參數或材質,直至滿足評估條件。這樣的過程使得溫度計套管的設計標準化和程序化。
2、溫度計套管設計方法
①溫度計套管外形及材料特性
溫度計套管在操作壓力P(Pa)、操作溫度T(℃)、最大流速v(m/s)、流體密度ρ(kg/m3)、動力黏度μ(Pa.s)或運動黏度ν(m2/s)下工作,外形尺寸如圖1所示。溫度計套管的過程接口形式分為:螺紋連接、承插焊連接、直接焊接、活動法蘭連接和法蘭連接。根據實際需要選擇過程接口形式。如果過程接口形式為法蘭或對套管采取了遮蔽措施, 則應確定遮蔽長度L0(m)(圖2)。一般,當溫度計套管容易通過評估條件時,工藝管道上的法蘭管嘴可不按遮蔽物考慮。通過評估條件困難時,應將工藝管道上的法蘭管嘴按遮蔽物考慮,L0=法蘭管嘴高度+管道壁厚。

圖1 溫度計套管尺寸示意(單位:m)

圖2 法蘭連接套管安裝示意圖
根據ASME BPVC Section II Part D,取得溫度計套管的材料特性參數:室溫(20℃)下彈性模量Eref(Pa)、工作溫度下彈性模量E(Pa)、最大允許工作應力S(Pa)和質量密度ρm(kg/m3)值;取測溫元件的平均密度ρs=2700kg/m3;取阻尼系數ζ=0.0005;根據ASME PTC19.3 TW-2016,將溫度計套管的材料分成A、B兩個等級,以疲勞壽命振動次數1011為限,取得相應材料在室溫(20℃)下空氣中的允許疲勞應力極限Sf(表1),以及描述介質腐蝕和相關影響的環境系數FE(≤1)。對T≤427℃的碳氫化合物、蒸汽和水,取FE=1;對T>427℃或其他介質,需減小FE,以描述相關影響。
表1 材料的允許疲勞應力幅度極限和環境系數
等級 材料 過程連接方式 允許疲勞應力極限Sf/106Pa 環境系數FE
A 碳鋼,低合金鋼 焊接或螺紋連接 20.7 ≤1
A 4××系列 法蘭連接 32.4 ≤1
A B類以外高合金鋼 活動法蘭連接 48.3 ≤1
B 3××系列高合金鋼 焊接或螺紋連接 37.2 ≤1
B 鎳-鉻-鐵合 金法蘭連接 62.8 ≤1
B 鎳-鐵-鉻合金 活動法蘭連接 93.8 ≤1
②漩渦脫落頻率和套管固有頻率計算
◆漩渦脫落頻率計算
a、雷諾數:

b、漩渦脫落頻率:

式中,Sr為Strouhal數,對工程設計計算可簡化為Sr≈0.22。
◆安裝就位后的溫度計套管固有頻率計算
首先,將安裝在管線上的溫度計套管看成是理想的懸臂梁,計算其近似的固有頻率:
,其中,轉動慣量
,kg.m4;單位長度套管的質量
,kg/m。
然后考慮安裝就位后的溫度計套管并非理想的懸臂梁,其還受到自身形狀、流體質量、測溫元件質量和安裝柔性因素的影響,引入下列四個修正系數:
●等截面實體梁修正系數

●流體附加質量修正系數

●測溫元件質量修正系數

●安裝柔性的修正系數:
a、對焊接和法蘭連接的套管的安裝柔性的修正系數

b、對螺紋連接的套管的安裝柔性的修正系數

安裝柔性與套管桿體和支撐面過渡處的圓角半徑b(圖1)高度相關。如果焊口不在套管根部,則焊口處的圓角半徑不能視作b。對支撐面處沒有清晰的幾何圓角和b未知的情況,設b=0。最后得出安裝就位后的套管固有頻率為
③振動頻率極限評估
當溫度計套管浸沒于流動的流體中時,在套管的下游產生漩渦,漩渦以一定的頻率脫落,漩渦脫落產生如下兩種力作用在套管上(圖3):一個是動態流向力,以頻率2fs沿y方向平行于流體作用;一個是動態橫向力,以頻率fs沿x方向垂直于流體作用。

圖3 流動沖擊力示意
隨著流速的增加,漩渦的脫落速率線性增加,同時,作用在溫度計套管上巨大的力則以流速的平方數量級增加。 溫度計套管根據力
的分布和變化做實時彈性響應。 如果溫度計套管的固有頻率
與漩渦脫落頻率fs或2fs重疊,則共振發生。建立溫度計套管的固有頻率
與漩渦脫落頻率fs之間的安全區間,則可有效避免共振的發生。
◆質量阻尼系數計算
溫度計套管固有的阻尼特性對其振動有抑制作用,一般將溫度計套管的阻尼系數(Scruton)ζ保守地設為0.0005。當溫度計套管置于介質中時,介質密度也會影響溫度計套管的阻尼特性,用質量阻尼系數描述:

質量阻尼系數越大,對振動的抑制作用越強。計算質量阻尼系數的意義在于,可以通過其大小判斷套管對振動的抑制程度。
◆頻率限制條件
當NSc>64,且Re<105時,不會產生流向共振和橫向共振,因此,不用評估溫度計套管的固有頻率。
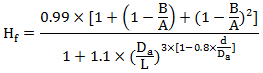
當NSc>2.5,且Re<105時,不會產生流向共振,溫度計套管固有頻率應滿足
NSc<2.5, 或Re≥105時,流向共振和橫向共振都會發生,通過下列步驟確定頻率限制條件:取ζ=0.0005,
采用簡化計算,流向共振時的流速為:

在共振條件下,即,設
和V=VIR,經過彎曲應力的計算步驟,取得動態流向應力幅度Sd(Pa)。
判斷溫度計套管是否通過周期應力評估,如果通過了周期應力條件,應滿足:
;如果沒有通過周期應力條件,則應滿足:
④應力分析
當套管浸沒于流動的流體中時,除了需要承受漩渦脫落產生的動態應力外,還要承受穩態流體產生的靜態應力和流體靜力學壓力。
◆力的大小
溫度計套管受到穩態流體沖擊,所受力的大小表示為作用在溫度計套管投影面Ap(m2)上單位面積所受的力Pβ的總和Fβ,投影面Ap是套管暴露于流體的部分。這里,Pβ代表作用在套管單位投影面積上的空氣動力學壓力PD(Pa)、溫度計套管單位投影面積上的流向力Pd(Pa)和溫度計套管單位投影面積上的橫向力Pl(Pa)。

以設計為目的時,取CD=1.4;Cd=0.1;Cl=1.0,Fβ代表FD(N)、Fd(N)和Fl(N)。

◆彎曲應力
作用在套管上流體的動態沖擊力,被分解成順著流體流動方向y的流向力和垂直于流體流動方向x的橫向力,見圖3所示。溫度計套管所承受的靜態應力和動態應力均為縱向彎曲力的形式,峰值應力產生在根部的外表面。

圖4 最大流向彎曲應力示意圖
流向動態應力的分布如圖4所示。引入應力放大系數保守估計溫度計套管振動時的應力:

|

式
和式
分別用來估算沒有共振情況下的流向振動應力和橫向振動應力;
式
用來估算共振情況下的流向振動應力和橫向振動應力。
梁的彎矩M(N.m)、轉動慣量I(kg.m4)和套管的縱向應力Sz(Pa)之間關系如下:

用這個公式在x=0,y=D(zs)/2,z=zs條件下,估算zs(m)截面處的穩態應力和流向動態應力,在x=D(zs)/2,y=0,z=zs條件下,估算zs截面處的橫向動態應力。在溫度計套管根部x=0,y=A/2,z=0條件下,估算溫度計套管根部的穩態應力和流向動態應力;x=A/2,y=0,z=0 條件下,估算橫向動態應力。一般對所有作用在溫度計套管上力的峰值彎矩等量關系為:

這里,Pβ表示PD、Pd或Pl,等于施加在溫度計套管單位面積上的力;Mβ表示MD、Md或Ml,等于作用在溫度計套管上的彎矩。
定義無量綱參數G為:

其中,D(zs)為z=zs處的直徑,I(zs)為z=zs處平面的轉動慣量。
在溫度計套管根部G表示為GSP。對于沒有采取流體遮蔽措施的套管,前一公式的積分下限zs=0,則無遮蔽溫度計套管的GSP為

對采取流體遮蔽措施的溫度計套管,這個公式的積分下限zs=L0,則有遮蔽溫度計套管的GSP為

GSP僅取決于溫度計套管的幾何圖形,可用來描述彎曲應力的強度。
在溫度計套管的根部,作用在下游側的穩態應力為

動態流向應力和動態橫向應力為

將CD=1.4、Cd=0.1、Cl=1.0和代入前面幾個公式,可以計算出無遮蔽和有遮蔽溫度計套管根部遠離共振和靠近共振時的穩態彎曲應力和動態彎曲應力。
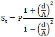
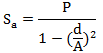
◆壓力和剪切力
除彎曲應力之外, 還有徑向壓力Sr(Pa)、切向壓力Sτ(Pa)、軸向壓力Sa(Pa)和流體沖擊的剪切力作用在溫度計套管上,剪切應力相對于其他應力很小可以忽略。
對于外部操作壓力P,在溫度計套管根部徑向、切向和軸向應力給出如下:



⑤靜態應力限制評估
來自于流體靜壓和非周期應力的穩態負荷,在套管下游,沿軸向在根部的外表面產生一個最大應力點Smax(Pa)。對設計用途,Smax給出如下:Smax=SD+Sa
采用等效應力準則(von Mises準則),應力Smax、Sr和St應滿足:

⑥動態應力極限評估
動態應力是套管在周期流向應力和橫向應力作用下的結果。動態應力不應超過材料的最大允許應力Sf(在1011周期下)。 峰值動態彎曲應力S0,max(Pa)給出如下:

由于fs正比于流速v,且流向共振發生在橫向共振流速的1/2處,因此僅對流向共振極限進行評估即可。設Sl=0,有:S0,max=Kt×Sd,絲扣連接的應力集中系數最小取Kt=2.3,在缺少套管根部焊口詳盡尺寸的情況下,取應力集中系數Kt=2.2。
ASME PTC19.3 TW-2016要求套管應按照 ASME BPVC Section VIII Division 2 Part 5的要求做疲勞評估。 作為替代方案也可按如下方法進行評估:S0,max<FT×FE×Sf,這里,FT=E/Eref。
⑦流體靜力學壓力極限評估
對壓力等級小于103MPa的場合,按照ASME BPVC Section VIII Division 1中的UG-28計算允許外部設計壓力PC(Pa)。也可簡單計算如下:

計算允許端部設計壓力Pt(Pa):

確定法蘭的允許設計壓力Pf(Pa):按照ASME B16.5,確定套管材質操作溫度下法蘭的允許壓力等級Pf(Pa)。
PC、Pt和Pf均應大于操作壓力P。
3、計算實例
某項目在反應器入口設置帶有溫度計套管的熱電偶溫度計,介質為碳氫化合物,工藝管道材質為SS347,直徑DN250,壓力等級CL2500,溫度計管嘴為法蘭,管道外壁至溫度計管嘴法蘭面的距離為190mm,其他操作條件為 :P=18MPa,T=278℃,v=15m/s,μ=2×10 -5Pa.s,ρ=53.3kg/m3。根據項目統一規定和選型原則以及過程條件, 確定采用材質為SS347的直型法蘭接口套管,溫度計套管的法蘭壓力等級Pf與管道壓力等級相同,為CL2500。雖然管道上的溫度計管嘴為法蘭,但不按遮蔽設施考慮。
最初選擇溫度計套管外形尺寸為:A=0.032m,B=A=0.032m,Da=A=0.032m,d=0.008m,L=0.30m,t=0.006m,b=0。經頻率限制條件評估發現, 溫度計套管不能通過動態應力極限條件,且不滿足式,為此,溫度計套管不能通過頻率限制條件評估。
調整尺寸L=0.25m,其他尺寸不變,重新進行頻率限制條件評估,結果發現,溫度計套管仍然不能通過動態應力極限條件,但滿足式
的條件要求,因此,該溫度計套管通過了頻率限制條件評估,同時,經過靜態應力限制評估、動態應力極限評估和流體靜力學壓力極限評估,均通過了評估條件。該溫度計套管通過了所有限制條件的評估,可以安全使用在預期工況條件下。
本文參照ASME PTC 19.3 TW-2016,提供了一種相對完善可行的溫度計套管工程應用設計方法,本方法可直接應用于工程設計。通過對溫度計套管振動頻率的分析計算和對各種極限評估方法的應用,可以看出,溫度計套管在流動介質中的振動計算和適用評估是比較復雜的,需要制定設計標準和計算程序才能更好地實現應用設計。
昌暉儀表制造有限公司生產優質溫度計套管,歡迎大家到http://m.fg316.com/product/132.html了解溫度計套管選型。

作者:孫吉人
