介紹了蒸汽流量的計算模型和JJG 1003-2005《流量積算儀》規定的蒸汽密度取值方式,分析了流量積算儀采用不同的蒸汽密度求取方式對于流量積算儀檢定結果的影響。研究結果說明了變工況條件下檢定流量積算儀的必要性。本文對流量積算儀的發展提出建議,以提高流量積算儀在蒸汽流量計量中的準確度。
0、引言
在節能減排和減小溫室效應的背景下,國內正大力發展集中供熱。蒸汽作為集中供熱的主要熱媒,其使用量正在逐年增加,而蒸汽流量的計量則因其貿易計量的特殊性也越來越得到企業的重視。不論采用何種流量計進行流量計量,流量積算儀是其中不可缺少的重要組成部分。為了確保流量計量準確、公正、可靠,流量積算儀的檢定顯得極為重要。
1、蒸汽流量計算模型及分析
目前蒸汽流量計量中仍然以節流式差壓流量計和渦街流量計為主流。
1.1 節流式差壓流量計的流量簡化模型
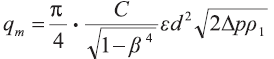
以節流式差壓流量計中最常見的標準孔板為例,其流量計算模型如下:
..................................................................................................公式(1)
公式中:qm為質量流量,kg/h;C為流出系數;β為直徑比β=d/D;D為管道直徑,mm;ε為可膨脹系數;d為開孔直徑,mm;Δp為差壓,kPa;ρ1為節流件正端取壓口平面上的流體密度,kg/m3。
在公式(1)中,β與d在不考慮孔板磨損和管道積污的情況下為常數,C和ε參照GB/T 2624-2006中的計算公式,雖然其計算公式非常復雜,但在一定的流量范圍內可看作常數,因此公式(1)可以簡化為公式(2)。
...........................................................................................................................................公式(2)
公式(2)中K可看作一個常數,但K的求取仍然較為復雜,而一個設計好的節流式差壓流量計,在其設計工況下,差壓信號滿量程對應的最大流量是已知的。因此,大部分流量積算儀生產廠家將差壓滿量程信號ΔPmax、滿量程流量qmax和設計狀態的蒸汽密度ρ0(以下簡稱設計密度)這三個已知量代入公式(2)中得到:
..........................................................................................................................................公式(3)
進而將公式(3)代入公式(2)中得到任意工況下的流量計算公式,見下式:
.............................................................................................................................公式(4)
1.2 渦街流量計的流量模型
頻率輸出的渦街流量計流量表達式為
...........................................................................................................................................公式(5)
式中:qm為質量流量,kg/h;f為渦街流量計輸出頻率,Hz;K為渦街流量計流量系數,m-3;ρ為流體密度,kg/m3。
2、流量積算儀中蒸汽密度的求取方式
2.1 檢定規程中對于密度的要求
流量積算儀的檢定是依據JJG 1003-2005《流量積算儀》進行的。在流量積算儀瞬時流量的檢定過程中,JJG1003-2005規定首先在設計工況下對流量進行檢定。另外應在壓力不變、溫度在設計范圍內任取兩點;溫度不變、壓力在設計范圍內任取兩點,在流量信號為最大的情況下分別進行兩次檢定。而變工況檢定其本質是對于流量積算儀密度求取準確性的檢定。
JJG1003-2005中還規定了蒸汽密度值應按照IFC 1967公式計算或者從《國際單位制的水和水蒸氣的性質》中的表格查取。
2.2 流量積算儀常用的蒸汽密度求取方式
由于IFC1967公式非常復雜,極少有流量積算儀直接采用該公式進行蒸汽密度計算。多數流量積算儀廠家是將《國際單位制的水和水蒸氣的性質》中的相關表格輸入到流量積算儀中,并進行線性插值來完成蒸汽密度的求取。
由于《國際單位制的水和水蒸氣的性質》表格中數據量很大,因此有不少生產廠商采用近似公式來計算蒸汽密度,或者采用《國際單位制的水和水蒸氣的性質》表格中某些點的數據再進行線性插值求取密度。

3、密度求取方式對于檢定結果的影響
3.1 密度求取準確性對于流量誤差的影響
由公式(4)和公式(5)可知,在節流式差壓流量計中qm∝ρ0.5,渦街流量計中qm∝ρ,可見密度求取的誤差將直接成為流量積算儀中流量的誤差,因此,密度求取的準確性在流量積算儀的檢定中就變得非常重要。
3.2 從變工況檢定中看密度求取方式
對于密式(4)可知,密度是以實際流體密度ρ與設計密度ρ0比值的形式參與流量計算,即如果選用的工作狀態與設計狀態相同,則在計算過程中使用的是同一個密度值,其誤差也相同,該誤差也會由于其比值的關系互相抵消,使得在設計狀態下的檢定過程中無法發現該誤差。
但在實際使用中,只要稍稍偏離設計工況,流量會因密度求取的誤差無法相消而產生偏差。因此在檢定時必須將使用的工況偏離設計工況,才能通過流量的誤差察覺出求取密度時產生的誤差。
而對于渦街流量計,由于密度直接參與流量計算,因此即便在設計工況狀態下檢定也能發現密度求取的誤差。但是也可以通過偏離工況狀態下對流量的檢定,確認流量積算儀對于一定工況范圍內密度求取的準確性。
目前有不少流量積算儀的生產廠商在流量積算儀的設計生產過程中只注重了流量、溫度、壓力各個信號輸入模數轉換的準確性,而忽略了密度求取對于流量積算儀的影響。并且其出廠檢定只在設計工況或者某一特定工況下進行,無法發現由于密度求取不當造成的流量誤差,而若按照JJG 1003-2005進行檢定,其產品的不合格率會非常高。例如,某0.5級流量積算儀將國際蒸汽表中過熱蒸汽整50℃的密度數據輸入到積算儀中作為查表依據,并且大氣壓也近似取為0.1MPa,其余數據均采用線性內插法推算。以設計工況為0.9MPa、200 ℃的過熱蒸汽為例,其變工況檢定中由密度誤差所引起的流量誤差見表1。
表1 由密度誤差所引起的流量誤差
相對壓力/MPa 0.9 0.9 0.9 0.8 1.0
溫度/℃ 200 180 220 200 200
用于孔板流量計時的流量誤差/% 0.00 -0.22 0.06 -0.02 0.00
用于渦街流量計時的流量誤差/% 0.00 -0.44 0.14 -0.03 0.02
從表1可知,該積算儀在設計工況下由密度引入的流量誤差為0.00%。改變工況壓力、工況溫度不變時引入的誤差也較小。但是在工況溫度變為180℃或220℃時,由密度引起的流量誤差明顯變大,其中用于渦街流量計時在180℃時最大誤差為-0.44%,已經接近該0.5級流量積算儀的誤差限,此時若儀器本身的誤差與密度求取方式引起的誤差同向,極容易造成檢定結果不合格。
而某些流量積算儀密度求取采用近似公式法,按照JJG 1003-2005中要求,其密度求取的近似公式在偏離公式適用范圍時,公式本身的誤差就已超過流量積算儀的最大誤差限,使得在超公式適用范圍使用時,其準確性無法達到使用要求。
4、建議與展望
計算機技術進入流量儀表后,為儀表中計算機查表提供了完善的技術手段。為了保證密度求取的準確性,可以將國際蒸汽表完整地寫入儀表內存,輔以線性內插,盡量降低全范圍內蒸汽密度求取的誤差。若硬件條件有限,可明確規定儀表使用的工況范圍,在規定的工況范圍內保證蒸汽密度誤差在可接受范圍內。對于使用流量積算儀的用戶,在選購流量積算儀時,要向廠商明確流量積算儀的使用工況范圍和蒸汽狀態(飽和或過熱)等,避免由于超范圍使用造成的流量計量誤差。對于檢定人員和儀器設計人員,都必須重視蒸汽密度求取方式所引入的計算誤差。由于該誤差是系統誤差,會與儀器的隨機誤差疊加,造成流量積算儀最終誤差超差的情況發生。
5、結語
隨著集中供熱的推廣,蒸汽的使用變得越來越廣泛,其中貿易結算的需求也越來越多,這就必然對流量積算儀在蒸汽流量計量方面提出了更高的要求。過去不少儀器生產廠商或用戶往往只關注一次儀表的準確度而忽略了密度求取方式和不同工況對流量計量的影響,這些都給蒸汽的貿易結算埋下了隱患。為了避免蒸汽供需雙方產生糾紛,必須重視流量積算儀中的密度求取方式,提高密度求取的準確度,從而保證貿易計量的準確、可靠。
文章作者:鐘一峰(上海交通大學)、謝莉莉(上海交通大學)、穆志君(上海市計量測試技術研究院)和周方(上海市計量測試技術研究院),原文標題《流量積算儀密度求取方式對檢定結果的影響》。
